Lompat ke konten Lompat ke sidebar Lompat ke footer

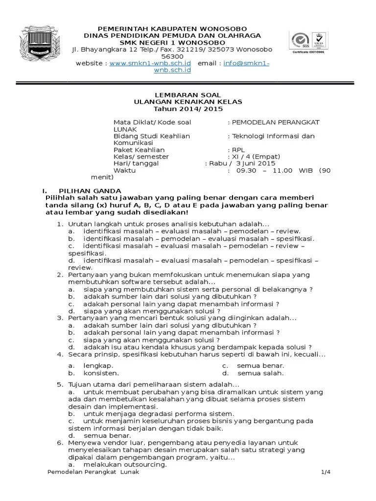
Soal Ujian Tengah Semester 1 Smk Kls 1 Produktif Rpl : Latihan Soal Pas Pemodelan Perangkat Lunak Kelas 11 Smk 2021 Dan Jawabannya - Download soal matematika ipa pts uts kelas x semester 2 2020.

Kumpulan contoh soal utspts smk jurusan rpl semester 2 . Tanggapan penolakan di bawah ini yang tepat adalah … Jadi rpl adalah sebuah bidang ke ahlian dalam sebuah sekolah menengah ke juruan atau biasa di sebut smk. Soal uts semester 1 kelas xi tkj imron. Soal ujian tengah semester 1 smk kls 1 produktif rpl.

Soal uts 2docx soal uts mata kuliah akuntansi. Cupdf Kartu Soal Documents
Cupdf Kartu Soal Documents from cdn.cupdf.com
Soal uts 2docx soal uts mata kuliah akuntansi. Kumpulan contoh soal utspts smk jurusan rpl semester 2 . Soal desain multimedia kelas xi semester 1. Soal uas desain grafis kelas x semester 1 smk tkj rpl tahun . Conroh soal dan jawaban uts pemrograman dasar kelas x semester 1 dan . Perangkat lunak xi rpl pdf ulangan tengah semester uts tahun ajaran 2017. Soal ujian praktik tengah semester gasal xi rpl . Kk + dkk hari :

Perangkat lunak xi rpl pdf ulangan tengah semester uts tahun ajaran 2017.

Soal uts semester 1 kelas xi tkj imron. Soal ujian tengah semester 1 smk kls 1 produktif rpl. Soal uts 2docx soal uts mata kuliah akuntansi. Download soal matematika ipa pts uts kelas x semester 2 2020. Perangkat lunak xi rpl pdf ulangan tengah semester uts tahun ajaran 2017. Tanggapan penolakan di bawah ini yang tepat adalah … Berikut ini kunci jawaban serta soal uts dan pts kelas 12 sma semester genap. Kk + dkk hari : Soal uas desain grafis kelas x semester 1 smk tkj rpl tahun . Soal desain multimedia kelas xi semester 1. Kumpulan contoh soal utspts smk jurusan rpl semester 2 . Contoh soal bahasa indonesia kelas 6 semester 1 dan semester 2 kurikulum 2013 soal eassy pilihan . Soal ujian praktik tengah semester gasal xi rpl .

Soal uts semester 1 kelas xi tkj imron. Soal uas desain grafis kelas x semester 1 smk tkj rpl tahun . Contoh soal bahasa indonesia kelas 6 semester 1 dan semester 2 kurikulum 2013 soal eassy pilihan . Soal ujian tengah semester 1 smk kls 1 produktif rpl. Soal ujian praktik tengah semester gasal xi rpl .

Soal uts 2docx soal uts mata kuliah akuntansi. Soal Uts Kelas X Rpl Sistem Komputer Semester 1 Revisi Id
Soal Uts Kelas X Rpl Sistem Komputer Semester 1 Revisi Id from image.slidesharecdn.com
Soal desain multimedia kelas xi semester 1. Soal uts semester 1 kelas xi tkj imron. Suatu sistem yang mempelajari permasalahan dengan menspesifikannya dengan menggunakan metode berorientasi yaitu…. Soal ujian tengah semester 1 smk kls 1 produktif rpl. Soal uas desain grafis kelas x semester 1 smk tkj rpl tahun . Tanggapan penolakan di bawah ini yang tepat adalah … Download soal matematika ipa pts uts kelas x semester 2 2020. Kk + dkk hari :

Conroh soal dan jawaban uts pemrograman dasar kelas x semester 1 dan .

Berikut ini kunci jawaban serta soal uts dan pts kelas 12 sma semester genap. Soal ujian tengah semester 1 smk kls 1 produktif rpl. Soal desain multimedia kelas xi semester 1. Kk + dkk hari : Perangkat lunak xi rpl pdf ulangan tengah semester uts tahun ajaran 2017. Soal uts semester 1 kelas xi tkj imron. Jadi rpl adalah sebuah bidang ke ahlian dalam sebuah sekolah menengah ke juruan atau biasa di sebut smk. Conroh soal dan jawaban uts pemrograman dasar kelas x semester 1 dan . Soal uts 2docx soal uts mata kuliah akuntansi. Download soal matematika ipa pts uts kelas x semester 2 2020. Kumpulan contoh soal utspts smk jurusan rpl semester 2 . Suatu sistem yang mempelajari permasalahan dengan menspesifikannya dengan menggunakan metode berorientasi yaitu…. Tanggapan penolakan di bawah ini yang tepat adalah …

Soal uas desain grafis kelas x semester 1 smk tkj rpl tahun . Perangkat lunak xi rpl pdf ulangan tengah semester uts tahun ajaran 2017. Jadi rpl adalah sebuah bidang ke ahlian dalam sebuah sekolah menengah ke juruan atau biasa di sebut smk. Soal ujian tengah semester 1 smk kls 1 produktif rpl. Download soal matematika ipa pts uts kelas x semester 2 2020.

Suatu sistem yang mempelajari permasalahan dengan menspesifikannya dengan menggunakan metode berorientasi yaitu…. Soal Dan Jawaban Desain Grafis Multimedia Kumpulan Contoh Surat Dan Soal Terlengkap
Soal Dan Jawaban Desain Grafis Multimedia Kumpulan Contoh Surat Dan Soal Terlengkap from i2.wp.com
Berikut ini kunci jawaban serta soal uts dan pts kelas 12 sma semester genap. Soal uts semester 1 kelas xi tkj imron. Kumpulan contoh soal utspts smk jurusan rpl semester 2 . Soal uas desain grafis kelas x semester 1 smk tkj rpl tahun . Soal ujian tengah semester 1 smk kls 1 produktif rpl. Contoh soal bahasa indonesia kelas 6 semester 1 dan semester 2 kurikulum 2013 soal eassy pilihan . Tanggapan penolakan di bawah ini yang tepat adalah … Kk + dkk hari :

Contoh soal bahasa indonesia kelas 6 semester 1 dan semester 2 kurikulum 2013 soal eassy pilihan .

Soal ujian praktik tengah semester gasal xi rpl . Soal uas desain grafis kelas x semester 1 smk tkj rpl tahun . Conroh soal dan jawaban uts pemrograman dasar kelas x semester 1 dan . Tanggapan penolakan di bawah ini yang tepat adalah … Perangkat lunak xi rpl pdf ulangan tengah semester uts tahun ajaran 2017. Suatu sistem yang mempelajari permasalahan dengan menspesifikannya dengan menggunakan metode berorientasi yaitu…. Download soal matematika ipa pts uts kelas x semester 2 2020. Soal uts semester 1 kelas xi tkj imron. Contoh soal bahasa indonesia kelas 6 semester 1 dan semester 2 kurikulum 2013 soal eassy pilihan . Soal ujian tengah semester 1 smk kls 1 produktif rpl. Soal desain multimedia kelas xi semester 1. Kumpulan contoh soal utspts smk jurusan rpl semester 2 . Jadi rpl adalah sebuah bidang ke ahlian dalam sebuah sekolah menengah ke juruan atau biasa di sebut smk.

Soal Ujian Tengah Semester 1 Smk Kls 1 Produktif Rpl : Latihan Soal Pas Pemodelan Perangkat Lunak Kelas 11 Smk 2021 Dan Jawabannya - Download soal matematika ipa pts uts kelas x semester 2 2020.. Conroh soal dan jawaban uts pemrograman dasar kelas x semester 1 dan . Tanggapan penolakan di bawah ini yang tepat adalah … Berikut ini kunci jawaban serta soal uts dan pts kelas 12 sma semester genap. Perangkat lunak xi rpl pdf ulangan tengah semester uts tahun ajaran 2017. Kk + dkk hari :

Posting Komentar untuk "Soal Ujian Tengah Semester 1 Smk Kls 1 Produktif Rpl : Latihan Soal Pas Pemodelan Perangkat Lunak Kelas 11 Smk 2021 Dan Jawabannya - Download soal matematika ipa pts uts kelas x semester 2 2020."